Kata laluan wifi matematik yang membuat orang gila, bolehkah anda mencari jawapannya?

Di bawah adalah siri kata laluan wifi 'merosakkan otak' yang merupakan masalah matematik atau kimia yang membuatkan ramai orang menggelengkan kepala dan terpaksa menggunakan 4G. Malah kerana ingin tahu, saya mengeluarkan pen dan kertas untuk mengira untuk beberapa muka surat, menyelesaikan sekumpulan persamaan kimia tetapi masih salah memasukkannya, menyebabkan kekecewaan dan mahu menjadi gila.

Kata laluan wifi matematik yang membuat orang gila, bolehkah anda mencari jawapannya?
Semasa melancong di Thailand, lelaki ini terjumpa sebuah restoran pelik dengan papan tanda di bawah. Segera lelaki ini terpaksa pergi ke Reddit untuk meminta bantuan.
Kata laluan wifi matematik yang membuat orang gila, bolehkah anda mencari jawapannya?
Kata laluan Wifi adalah teka-teki untuk pekerja baru yang tidak pandai matematik. Pasti akan membuatkan ramai orang lebih suka menggunakan 4G daripada duduk-duduk.
Kata laluan wifi matematik yang membuat orang gila, bolehkah anda mencari jawapannya?
Selepas meminta bantuan di Facebook, seorang netizen yang bersemangat membantu gadis itu mencari kata laluan wifi.
Kata laluan wifi matematik yang membuat orang gila, bolehkah anda mencari jawapannya?
Tengok saja dah rasa nak pengsan, nasib baik ayat lepas tu selamatkan aku.
Kata laluan wifi matematik yang membuat orang gila, bolehkah anda mencari jawapannya?
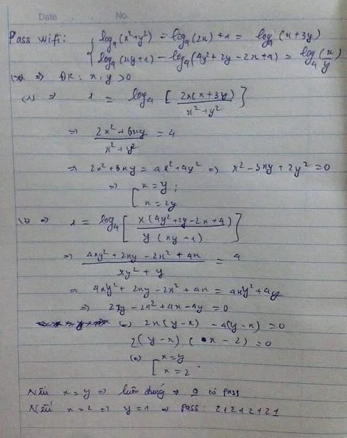
Selesaikan ini untuk mendapatkan pas.
Kata laluan wifi matematik yang membuat orang gila, bolehkah anda mencari jawapannya?
Kata laluan wifi matematik super panjang yang dibuat di Vietnam membuatkan orang ramai mahu menjadi gila dan lebih suka menggunakan 4G daripada menyelesaikannya.
Kata laluan wifi matematik yang membuat orang gila, bolehkah anda mencari jawapannya?
Pelajar baru, baru menyewa bilik dan berjumpa dengan senior yang baik hati memberikan kata laluan wifi untuk digunakan secara percuma. Tetapi bolehkah saya menggunakan kata laluan ini?
Kata laluan wifi matematik yang membuat orang gila, bolehkah anda mencari jawapannya?
Pergi sekolah dengan wifi percuma memang bagus kan? Tetapi hidup tidak seperti mimpi. Pengetua memang "berbakat".
Kata laluan wifi matematik yang membuat orang gila, bolehkah anda mencari jawapannya?
Untuk mendapatkan kata laluan wifi kafe, pelanggan perlu menyelesaikan teka-teki kimia ini. Susah betul pelanggan. Tengok saja, dah nampak keghairahan pemilik kedai terhadap Kimia tidak pernah "mati" walaupun dia beralih kepada perniagaan.
Kata laluan wifi matematik yang membuat orang gila, bolehkah anda mencari jawapannya?
Menetapkan kata laluan wifi yang janggal seperti “wifihongroi - wifi rosak”, “yeuthicho - cinta kemudian beri”, “emdepkhong - em dep khong”... sudah lapuk. Trend hangat untuk kata laluan wifi sekarang ialah menggunakan persamaan kimia untuk menyulitkan kata laluan baharu.
Kata laluan wifi matematik yang membuat orang gila, bolehkah anda mencari jawapannya?
Kata laluan Wifi 'menggodam otak' pelanggan kedai kopi. Untuk mendapatkan kata laluan wifi, pelanggan mesti mengimbangi persamaan kimia. Ya tuhan, bukan semua orang pandai kimia kan guys?
Kata laluan wifi matematik yang membuat orang gila, bolehkah anda mencari jawapannya?
Jawapan diberikan oleh pelanggan beberapa hari kemudian.
Kata laluan wifi matematik yang membuat orang gila, bolehkah anda mencari jawapannya?
Melihat kata laluan Wifi sebegini, sudah pasti golongan "buta" akan "menjerit" dan beralih menggunakan 4G dengan pantas. Sebab itu Kimia dan Matematik sangat penting dalam kehidupan.

Lihat juga:

Leave a Comment

Cara Membaiki Microsoft Teams Di Mana Boleh Cari Ralat Team

Cara Membaiki Microsoft Teams Di Mana Boleh Cari Ralat Team

Bosan dengan ralat Microsoft Teams Where to Find Team yang mengecewakan? Dapatkan pembetulan langkah demi langkah untuk desktop, web dan mudah alih. Selesaikannya dengan cepat dengan panduan pakar kami—tiada kemahiran teknikal diperlukan!

Cara Membaiki Ralat Bantuan Cara Menggunakan Microsoft Teams

Cara Membaiki Ralat Bantuan Cara Menggunakan Microsoft Teams

Bosan dengan Ralat Bantuan Microsoft Teams yang mengecewakan yang menyekat aliran kerja anda? Dapatkan pembetulan langkah demi langkah yang berfungsi pada versi terkini. Kosongkan cache, kemas kini dan banyak lagi—tiada kemahiran teknikal diperlukan!

Cara Membaiki Ralat Log Masuk Microsoft Teams pada Chromebook

Cara Membaiki Ralat Log Masuk Microsoft Teams pada Chromebook

Menghadapi ralat log masuk Microsoft Teams pada Chromebook? Temui penyelesaian langkah demi langkah untuk menyelesaikan masalah log masuk dengan cepat. Kosongkan cache, kemas kini aplikasi dan banyak lagi untuk kerja berpasukan yang lancar. Berfungsi pada OS Chrome terkini!

Menyelesaikan Masalah Kelewatan Persidangan Video Microsoft Teams pada Wi-Fi

Menyelesaikan Masalah Kelewatan Persidangan Video Microsoft Teams pada Wi-Fi

Bergelut dengan kelewatan persidangan video Microsoft Teams semasa menggunakan Wi-Fi? Panduan penyelesaian masalah muktamad ini memberikan penyelesaian pantas, petua lanjutan dan pengoptimuman Wi-Fi untuk memulihkan panggilan video yang jelas serta-merta.

Mengapa Status Microsoft Teams Saya Tersekat?

Mengapa Status Microsoft Teams Saya Tersekat?

Kecewa dengan status Microsoft Teams anda yang tersekat pada Away? Ketahui sebab utama seperti tamat masa melahu dan tetapan kuasa, serta pembetulan langkah demi langkah untuk kembali ke Available dengan pantas. Dikemas kini dengan ciri Teams terkini.

Menyelesaikan Ralat Sertai Mesyuarat Microsoft Teams melalui Pautan Langsung

Menyelesaikan Ralat Sertai Mesyuarat Microsoft Teams melalui Pautan Langsung

Bergelut dengan Ralat Sertai Mesyuarat Microsoft Teams? Temui langkah-langkah terbukti untuk menyelesaikannya melalui pautan langsung. Penyelesaian pantas untuk penyertaan yang lancar – tiada kemahiran teknikal diperlukan!

Di Mana Boleh Cari Kod QR Microsoft Teams untuk Log Masuk Mudah Alih Pantas

Di Mana Boleh Cari Kod QR Microsoft Teams untuk Log Masuk Mudah Alih Pantas

Ketahui dengan tepat di mana untuk mencari Kod QR Microsoft Teams untuk log masuk mudah alih yang sangat pantas. Panduan langkah demi langkah dengan visual untuk memudahkan anda berhubung dalam beberapa saat—tiada kata laluan diperlukan!

Cara Membaiki Ralat Main Semula Media Microsoft Teams pada tahun 2026

Cara Membaiki Ralat Main Semula Media Microsoft Teams pada tahun 2026

Bosan dengan ralat main balik media Microsoft Teams yang merosakkan mesyuarat 2026 anda? Ikuti panduan pakar langkah demi langkah kami untuk membetulkan gangguan audio, video dan perkongsian dengan pantas—tiada kemahiran teknikal diperlukan. Kolaborasi yang lancar menanti!

Di manakah Kunci Pendaftaran Microsoft Teams Terletak pada Windows 11?

Di manakah Kunci Pendaftaran Microsoft Teams Terletak pada Windows 11?

Buka kunci lokasi tepat kunci pendaftaran Microsoft Teams pada Windows 11. Panduan langkah demi langkah untuk mencari, mengakses dan mengubahnya dengan selamat untuk prestasi dan penyelesaian masalah yang optimum. Penting untuk profesional IT dan peminat Teams.

Menyelesaikan Masalah Gelung Permulaan Skrin Aluan Microsoft Teams

Menyelesaikan Masalah Gelung Permulaan Skrin Aluan Microsoft Teams

Kecewa dengan gelung permulaan skrin alu-aluan Microsoft Teams? Ikuti langkah penyelesaian masalah yang terbukti untuk gelung permulaan skrin alu-aluan Microsoft Teams kami: kosongkan cache, tetapkan semula aplikasi, pasang semula. Kembali ke kolaborasi yang lancar dalam beberapa minit!

Penyelesaian Masalah Ralat Proksi Microsoft Teams

Penyelesaian Masalah Ralat Proksi Microsoft Teams

Bergelut dengan Ralat Proksi Microsoft Teams? Ketahui Penyelesaian Masalah Ralat Proksi Microsoft Teams yang terbukti Langkah-langkah pembetulan. Kosongkan cache, laraskan tetapan proksi dan kembali kepada panggilan lancar dalam beberapa minit dengan panduan pakar kami.

Di manakah Microsoft Teams dalam Outlook? Mencari Ikon yang Hilang

Di manakah Microsoft Teams dalam Outlook? Mencari Ikon yang Hilang

Kecewa dengan ikon Microsoft Teams yang hilang dalam Outlook? Ketahui dengan tepat di mana untuk mencarinya, mengapa ia hilang dan langkah-langkah terbukti untuk memulihkannya untuk mesyuarat yang mudah. ​​Dikemas kini untuk versi terkini!

Mengapa Microsoft Teams Begitu Perlahan? 10 Petua untuk Mempercepatkannya pada Tahun 2026

Mengapa Microsoft Teams Begitu Perlahan? 10 Petua untuk Mempercepatkannya pada Tahun 2026

Kecewa dengan Microsoft Teams yang lambat? Ketahui mengapa Microsoft Teams begitu perlahan dan gunakan 10 petua terbukti ini untuk mempercepatkannya secara dramatik pada tahun 2026 untuk kolaborasi yang lancar.

Cara Log Masuk ke Pusat Pentadbiran Microsoft Teams dengan Betul

Cara Log Masuk ke Pusat Pentadbiran Microsoft Teams dengan Betul

Kuasai cara log masuk ke Pusat Pentadbiran Microsoft Teams dengan betul dengan panduan langkah demi langkah kami yang tepat. Betulkan ralat biasa, pastikan keselamatan dan uruskan Teams dengan mudah untuk pentadbir di mana-mana sahaja.

Cara Muat Turun Microsoft Teams untuk Mac dan MacBook Air/Pro

Cara Muat Turun Microsoft Teams untuk Mac dan MacBook Air/Pro

Temui cara paling mudah untuk memuat turun Microsoft Teams untuk Mac, MacBook Air dan MacBook Pro. Arahan langkah demi langkah, keperluan sistem dan petua penyelesaian masalah untuk pemasangan yang lancar dalam versi terkini. Mulakan sekarang!